Methanol
- Methanol Fuel
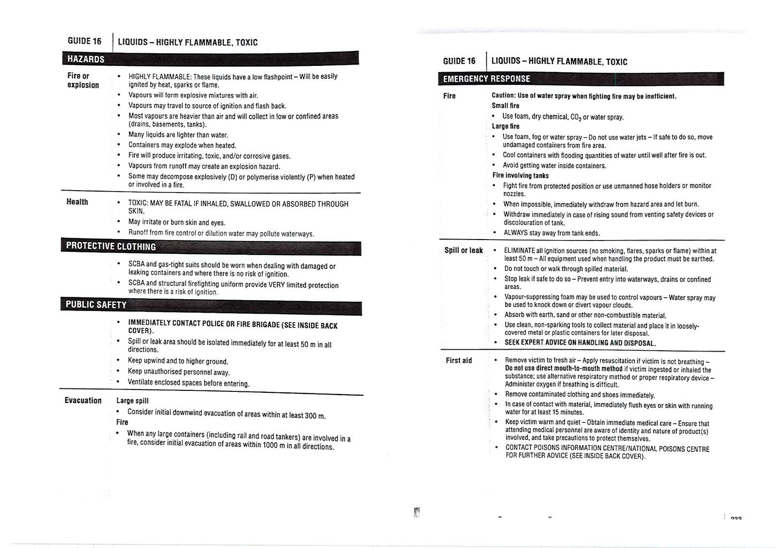
Methanol is a liquid solvent commonly known is methyl alcohol. It is a highly flammable liquid with a flashpoint of 11ºC and a boiling range of 64.5-64.641ºC. Methanol is characterised as being fast evaporating. Methanol is also called wood alcohol as it is a by-product of the destructive distillation of wood.
Cleaning & Household Uses:
- Removing sticker residue.
- Window cleaner and glass cleaner.
- Burning.
- Cleans bathtub grime.
- General all-purpose cleaner on tough built up grime.
- Sterilize equipment.
- Used as racing car fuel. It is less inflammable and can mix with water, which makes it effective for racing fuel.
Industrial & DIY Uses:
- Used to produce a variety of other chemicals, including acetic acid
- Used as an industrial solvent to help create inks, resins, adhesives, and dyes.
- Methanol can be used as a type of vehicle fuel or marine fuel for boats.
- Methanol also is used in biodiesel, a renewable type of fuel made from plants or animal fats that can be used in place of, or blended into, conventional fuel.
Methanol Fuel
Methanol can be used as the preferred fuel for race car drivers being known as a fuel injector. It is found that methanol has less energy content than gas so vehicles get half the mpg of the fuel. The great thing about methanol being used as fuel is that it has a high-octane, which means that it has amazing acceleration and power. Methanol assists with improving the efficiency of the car.
Available Sizes: 1, 5, 20, 200 and 1000 Litre.
*All information provided is a recommendation. We cannot guarantee the uses as each application has various characteristics and therefore we cannot be certain it will work for you*
SAFETY
- Keep out of reach of children.
- Keep away from sources of ignition - no smoking.
- Avoid contact with eyes.
- Take precautionary measures against static discharges.
- Keep container in a well-ventilated place.
SPILL/LEAKS
- Eliminate all ignition sources. Remove leaking containers.
- Contain and absorb on suitable chemical material.
- Restrict access to area.
FIRE
- Firefighters MUST wear full protective clothing and self-contained breathing apparatus.
FIRST AID
- If Swallowed contact a doctor or poison information center immediately and show container or label.
- In case of contact with eyes rinse immediately with plenty of water and contact a doctor or poison information center.
- In case of contact with skin, wash contacted area with soap and water.
- If inhaled remove to fresh air.
- If not breathing, give artificial respiration.
- Prevent material entering sewers.
Information Regarding Pick Up
Can I pick it up?
Yes, we are located in Penrith. Unit 10, 10 Production Place Jamisontown NSW 2750.
Are we open to the public?
Yes, we are. You can buy direct from us by paying card or cash. You don't need to be a business customer to buy. Anyone can walk in and buy from us.
We are open from 7:30 am to 4:30 pm Monday to Friday.
What can you pay on pick up?
We accept cash or card (Visa, MasterCard, AMEX, EFTPOS).
Order Policy - Identification Verification
To help prevent fraudulent transactions and protect our customers, any orders valued over $500.00 (including GST) may be subject to an identification check. Customers may be asked to provide a valid driver’s licence before their order is processed, dispatched, or collected in person.
This policy is in place to help verify the purchaser’s identity, reduce the risk of unauthorised transactions, and maintain the security of our service.
We appreciate your understanding and cooperation.
Information Regarding Pick Up Of 200 LITERS
200LTRS can be picked up as long as they are stowed and restrained within rigid sides or gates; and no dangerous article or package containing dangerous goods may protrude above the sides or gates by more than 30% of the height of the article or package; and no parts of an article or package may protrude horizontally beyond the sides or gates.
Information Regarding Delivery
We know you’ll be keen to receive your order as quickly as possible. Please make sure you provide us with:
- A valid delivery address (either residential or business) as we cannot ship our products to PO Box or Parcel Collect, and
- Contact phone number so we can contact you if there are any issues with your consignment.
Our couriers require the customer’s phone number for each delivery. We can’t book your delivery unless you have provided us with a valid daytime phone number.
We pack every order carefully to ensure it reaches you in good condition.
Your order will be sent through one of our preferred couriers.
After payment has been received, your order will be processed by the following business day. The approximate cut-off time for same-day dispatch is 11 am.
Shipping timeframes:
Shipping charges are calculated depending on the quantity, weight, location and if it contains dangerous goods.
All consignments are tracked. The tracking number can be viewed in the email notification you receive after the order has been dispatched. If you can't find it or need help with tracking, don't hesitate to get in touch with us.
If you have any questions about delivery, please contact us and we will do our best to ensure you’re happy.
PLEASE NOTE:
Please ensure your delivery address is correct at the time of placing your order. Once an order has been dispatched from our warehouse, we are unable to redirect, amend, or change the delivery address under any circumstances.
To comply with regulatory, safety, and internal compliance requirements, we may request proof of identification at any time.
This may include asking customers to provide a valid government-issued licence (such as a driver licence) and, where required, allowing us to take a copy or photograph of the licence for verification purposes.
Failure to provide requested identification may result in an order being placed on hold, delayed, or cancelled.
All identification information is handled securely and used solely for verification and compliance purposes, in accordance with applicable privacy laws.
*Below are commonly asked questions. All answers provided are merely recommendations. Please do further research and test yourself. If you have any questions please feel free to ask.*
Which methanol is best suited for what I need?
At Sydney Solvents we have a range of different methods such as Methanol Fuel Special, Methanol, Methanol 99.6% and Methanol 99.9%. Methanol is a liquid solvent commonly known is methyl alcohol. It is a highly flammable liquid with a flashpoint of 11ºC and a boiling range of 64.5-64.641ºC. Methanol is characterised as being fast evaporating. Methanol is also called wood alcohol as it is a by-product of the destructive distillation of wood.
What is the main difference between all the methanol’s? Short answer is the moisture content.
Methanol Fuel Special
Methanol Fuel Special is a type of methanol that has a higher level of moisture content. The amount of moisture is not tested but is approximately 10% moisture, hence why it is much cheaper than other fuels. This fuel is often used by customers who use methanol as a fuel injector as the methanol already contains the moisture that will be added. Additional moisture is usually added as well so it is more of testing to find out what ratio works best.
Methanol
Our regular Methanol is industrial grade methanol and is about 99% pure or more. This fuel is perfect for everyday use in the manufacturing or industrial sector. If you are wanting a more consistent methanol to add for your fuel injector, we would recommend using this fuel as it is very consistent in spec.
Methanol 99.6 and Methanol 99.9
When it comes to Methanol 99.6% and Methanol 99.9% they are both made to the spec and moisture. Both these grades go through a variety of processes in order to meet the right spec, hence why the products are very expensive in comparison to the special and regular methanol. This product is commonly used in laboratories where the right spec is necessary to complete the job.
Be The First To Review This Product!
Help other Sydney Solvents users shop smarter by writing reviews for products you have purchased.

.png)
